充电器芯片阿里巴巴店铺 开关电源芯片关注向日葵视频下载安卓网站进入下载官网 向日葵视频官方网站下载收藏向日葵视频下载安卓网站进入下载官网 欢迎进入电源芯片/驱动芯片、MOS、IGBT、二三极管、桥堆等电子元器件代理商--向日葵视频下载安卓网站进入下载官网电子官网
高级搜索

搜索一

搜索二

充电管理IC方案
当前位置: 电源ic > 新闻中心 > 公司新闻 > 高精度原边反馈恒流恒压芯片-PN8611

高精度原边反馈恒流恒压芯片-PN8611

字号:T|T
文章出处:向日葵视频下载安卓网站进入下载官网电子责任编辑:向日葵视频下载官网成人人气:-发表时间:2022-10-20
  PN8611高精度原边反馈恒流恒压芯片是一款高性能的原边反馈控制器。PN8611工作在原边检测和调整模式,可省略系统的光耦和TL431。PN8611拥有恒压恒流控制环路,可以实现高精度的恒压、恒流输出,以满足大部分充电器和适配器需求。PN8611内置高压启动电路和极低的芯片功耗使得系统能够满足较高的待机功耗标准。
  
  1. 高压启动控制  
  在启动阶段,采用高压启动技术,芯片启动前2mA电流源为内部偏置电路供电并给外部VDD电容充电,快速启动。当VDD电压达到VDDon,芯片开始工作的同时高压启动电路关断;只要VDD电压不低于VDDoff,芯片维持正常工作。启动后,偏置电路通过辅助源供电,同时启动电路只有一路极小的电流,实现低损耗。
  
  2. CC 工作模式  
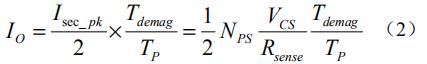
  在CC工作状态,PN8611原边反馈恒流恒压芯片采样FB引脚的信号(由辅助绕组信号通过电阻接入FB),辅助绕组信号脉宽决定振荡频率。输出电压越高,脉宽越小,同时振荡频率越高,这样可获得恒定的输出电流。非连续模式的电流工作波形如图1所示。在MOSFET导通(Ton)期间,原边电流Ipri上升。当MOSFET关闭时,变压器原边的能量会传递到次级,次级电流最大值为
  
  输出电流值为 
 
  当TP=2×Tdemag,且VCS恒定时,输出电流IO是恒定值,因此可以得到恒流输出。
  
  3. CV 工作模式  
  在CV工作状态,PN8611原边反馈恒流恒压芯片使用脉冲采样VFB电压,并保持到下个采样点。将采样的电压和VREF_CV基准比较,并放大误差。这个误差值代表负载情况,通过控制开关信号,调节输出电压,使得输出恒定。
  
  输出电压Vo和VREF_CV的关系为  
  其中, NS 和 NAUX 分别为次级绕组和辅助绕组的圈数。
  
  在重载条件,芯片工作在PFM模式,Ipeak不变,工作频率随输出电流减小而减小;当频率减小到25kHz左右,芯片进入PWM模式,频率调制变得非常缓慢,Ipeak随输出电流减小而减小,该模式可以避免音频噪音,同时有利于提升25%带载效率;当芯 片 Ipeak 调制到 200mA ,芯片进入空载模式(Standby模式),Ipeak不变,工作频率随输出电流减小而减小,波形如图2所示。
  
  4. 电流检测和前沿消隐  
  PN8611高精度原边反馈恒流恒压芯片提供逐周期电流检测功能。芯片通过智能MOS采样管检测功率管电流,原边电流最大值设置为520mA,最大输出功率由芯片固定。功率管开通瞬间会产生尖峰电压,内部前沿消隐电路可防止误触发。
  
  5. 保护控制  
  PN8611高精度原边反馈恒流恒压芯片含有丰富的保护功能,包括:逐周期过流保护、输出过压保护、过温保护、开环保护、输出短路保护、VDD欠压锁定保护功能,并且这些保护具有自恢复模式。

  向日葵视频下载安卓网站进入下载官网电子代理销售各大品牌的充电器芯片、适配器芯片、小家电芯片等各类电子元器件,可以满足市场多样化的需求,为客户提供高性价比、性能优异、品质稳定的电源方案及现场技术支持服务,更多相关方案资料可向向日葵视频下载安卓网站进入下载官网申请。>>
产品中心 关于向日葵视频下载安卓网站进入下载官网 联系向日葵视频下载安卓网站进入下载官网
网站地图